Hospital Care for the Indigent:

Tradeable Admissions Permits

by

Andrew J. Buck
Temple University

and

Min Peng
University of Illinois - Chicago


JEL Classification Codes: I11, I18, D43


February 9, 1997





Hospital Care for the Indigent:

Tradeable Admissions Permits

by

Andrew J. Buck
Temple University

and

Min Peng
University of Illinois - Chicago


Abstract

The social liability of providing hospital care for the indigent is not shared equally by all hospitals. This could lead to some socially undesirable consequences, such as the closure of hospitals in poor areas. This paper proposes tradeable admissions permits as a method for restoring the 'missing market' for care for the poor. As an alternative to the prospective payments system, admissions permits can achieve both efficiency and equity.



Hospital Care for the Indigent:
Tradeable Admissions Permits
by
Andrew J. Buck and Min Peng

1. Introduction
In the past the U.S. had locally centralized systems for dealing with the social liability of equal access to medical care without regard to the ability to pay (Barr 1993, Pps. 291-2 and Blaisdell 1994). The financial exigency resulting from more recenthealth care changes has closed many voluntary and public facilities. The closure of facilities may not be socially desirable in terms of both equity and efficiency: The burden of caring for the medically indigent is not completely subsidized under the current and proposed prospective payment system (PPS). Given the relative immobility of the poor, the need to go to a hospital outside of their neighborhood may limit their access to basic care. We propose a market for tradeable admissions permits to replace the current prospective payment system.
The PPS was meant to promote the efficient use of resources in much the same way as price cap regulation in highly concentrated industries, such as cable TV and telephony. Although the PPS may have induced hospitals to operate at lower cost (Russell (1989) and Dranove and White (1994)), it overlooks a few basic facts about health care. First, once they become ill, the poor and elderly are more costly to treat than the affluent (Smith and Telles 1991, Elliot, Renier and Vecchi 1995, Hahn and Flood 1995). Second, some hospitals face a greater burden of caring for the poor than others (Sloan, Valvona and Mullner, 1986). Third, government has been greatly burdened by the prospective payments system. Finally, the PPS is slow to adapt to changing health care practices (Myers, 1986). These forces, on top of unilaterally determined fee schedules, all come together to place a burden on providers and the poor. Since the PPS rates are a 'take it or leave it' proposition the poor may find themselves without care as providers close entirely or by stages.
In this paper we propose a system of tradeable admissions permits which obviates the need for a government agency to worry about either the revenue or cost aspects of serving the poor. Creating a market for the care for the poor also makes the question of a hospital's obligation to provide care and an indigent person's right to care moot (Reinhardt 1986 and Olick 1994). A market for permits will also be more responsive to the growing proportion of medically indigent in the population (Sloan, Morrisey and Valvona, 1988). Also, by using tradeable admissions permits, the public policy authority responsible for acute health care is able to overcome the fact that neither hospitals nor patients are very mobile.
In section 2 we state the model and prove that a market will exist for tradeable admissions permits. Some comparative statics results are stated in section 3. Conclusions and directions for future work are presented in section 4.
2. A Model of Tradeable Admissions Permits
There is a city arranged along a street of unit length. There are two classes of consumers: Those who are able-to-pay for their hospital care (the rich, denoted by R) and those who cannot (the badly off, denoted by B). The poor live on the interval [0,L]. The rich live on the interval [L,1]. The abilities to pay of the two types of consumer are perfectly distinguishable. The density of residents, w, along the street is the same for both classes of consumer. Hence, the total number of poor people on the street is and the total number of able-to-pay people is .
There are two hospitals in the city. Their locations are assumed to have been predetermined by historical accident. For simplicity the hospitals are symmetrically located about the midpoint on the street. Hospital 1, located in the poor neighborhood, is located at ½ - a and Hospital 2, which is located in the affluent neighborhood, is located at ½ + a. The two hospitals provide identical services and compete on the basis of price as the strategic variable. Neither hospital can turn away a customer on the basis of the ability to pay. This linear city and its hospitals appears as in Figure 1.

Figure 1

The consumers must make a mutually exclusive choice of hospital on the basis of utility surplus (Anderson, DePalma and Thisse, 1992). The utility derived from choosing hospital i=1,2 by a patient of type k=B,R who is located at x is defined by
where mk is the reservation price of patient type k for health care and p(.) is the real utility cost suffered by the consumer upon choosing hospital i.
To make things specific, define the real utility cost for the able-to-pay to be
1
where pi is the price for a unit of care at Hospital i and t is travel cost, assumed to be the same for both types of consumer. qj j=R,B is the opportunity cost of time for a given type of consumer. The difference between total demand for care at the hospital, Di, and its capacity, Ki, is a measure of the waiting time for care at the ith hospital. Hence, the first term is the fee paid by the patient or her insurance carrier, the second term is the total travel cost, and the last term is the monetary cost of hospital congestion. Since the poor are unable to pay any out of pocket expenses beyond transportation and the opportunity cost of waiting, their real utility cost will be

(2)

Obviously there are marginal individuals of both types who will be indifferent between the two hospitals. The location of the marginal able-to-pay customer is found by setting equal the utility cost of being served at the respective hospitals and solving for x, the consumer's location. Hence, the location of the marginal able-to-pay customer is given by

(3)

Since patients are uniformly distributed throughout the city, 1/2 is the location of the randomly drawn patient and 4ta is that patient's cost of making a round trip to each hospital. The numerator of the first term is the incremental monetary expense of choosing hospital 2 instead of hospital 1. The aggregate demand of type R customers for services at Hospital 1, located in the poor neighborhood, will be

(4)

Their demand for services from Hospital 2, located in their own neighborhood, will be (5)

Similar calculations can be made for the unable-to-pay group of customers. The location of the indigent patient indifferent between the two hospitals is

The aggregate demand of type B customers for services at Hospital 1, located in their own neighborhood, will be The aggregate demand by indigent patients for services from the hospital in the affluent neighborhood will be

The demand side of the model can be solved to determine the number of patients served at the poor hospital, denoted D1, and the number served at the rich hospital, denoted D2.

(9)

(10)

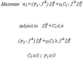
where qB has been set to one to simplify the algebra. Turning to the supply side of the market, the constant marginal cost of serving an able to pay customer is fR. The constant marginal cost of serving an indigent patient is fB. In order to serve a paying customer the hospital must have an admissions permit. Initially Hospital 1 has an endowment of n such permits. If Hospital 1 has fewer than n paying customers then it can sell the additional permits in the marketplace. Symmetrically, if Hospital 2 is to serve any able-to-pay customers then it must purchase an admissions permit from Hospital 1. Formally, the objective of the first hospital, in the indigent area, is (11)

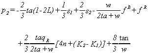
The first constraint is the sale limit constraint. A total of D1R paying customers come to the poor hospital and it can sell an additional C1 permits at an asking price of s1 dollars each, up to the total of its initial endowment of such permits, n. The second constraint is the incentive constraint. Hospital 1 should at least break even on the sale of patient care and admissions permits. The objective of the second hospital, in the rich area, is similarly represented in equation 12. (12)

The first constraint simply states that the second hospital must purchase from Hospital 1 a permit for every able-to-pay customer it serves. In the second constraint Hospital 2 stipulates that it will not bid so high for a permit, s2, that it will lose money on its newly purchased permit. Of immediate interest is whether there is a price, s, for an admissions permit which will allow trade between the hospitals. There are both necessary and sufficient conditions. If trade in permits is observed to have taken place then it must have been the case that Hospital 1 was not able to cover the cost of caring for the indigent from the revenues it earned from services sold to the affluent. That is, . Similarly, after paying the explicit costs of caring for both its rich and poor patients, Hospital 2 must have some revenue left to buy permits. That is, . These inequalities can be rearranged to yield the necessary condition

In the numerator on the left hand side is the odds of a rich patient going to Hospital 1, the denominator is the odds of a poor patient going to Hospital 1. The right hand side is the ratio of the Hospital 2's profit from caring for the affluent to that of Hospital 1. Since , we know that the odds ratio and, hence the ratio of profits, will always be positive. A sufficient condition is that at the market clearing prices for care, the difference between the bid and offer price of a permit must be positive. Hospital 1, in the poor area, will accept a price for its admissions permits no lower than . This is positive and finite only if the hospital can cover the care it provides the poor with the revenue it earns from serving the able-to-pay and selling its excess admissions permits. At the same time, the permit price must be below , or Hospital 2 will not buy any permits offered to it. Taking the difference between the maximum price that Hospital 2 will pay and the minimum acceptable price to Hospital 1 yields This will be positive as long as the marginal cost of caring for the poor, fB, is not too great and/or there are not too many of them, D2B+D1B. The maximization problem for the two hospitals can be solved to yield the optimal prices to be charged to paying customers. The solution will yield a Nash (price) equilibrium. The solution is found by substituting for D1R, D1B, D2R, D2B and the aggregate demands in the objective functions. Each hospital takes the other's price as given, so the objective functions are differentiated with respect to the respective prices. The two first order conditions

can then be solved for the optimal prices, given by

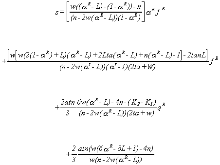
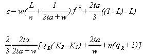
where s1 and s2 are the offer and bid prices for admissions permits. With the prices for care in hand it is possible to re-examine the question of the price of an admissions permit, s. This is accomplished by imposing a zero profit constraint under a given allocation of patients between the two hospitals. From each of the zero profit constraints one obtains an expression for the price of a permit. Setting these prices equal to each other and substituting away from the price of care yields the desired solution. There are four possible allocations of patients between the hospitals. In the simplest case all of the poor patients go to Hospital 1 and all of the paying patients go to Hospital 2. In this case the marginal patients are located at L. In the second case Hospital 1 gets no paying patients, but some poor patients now go to Hospital 2. In the third case all of the poor patients go to Hospital 1, but some paying patients now also go to Hospital 1. In the final case both hospitals have both types of patients. For the first case, in which patients patronize their neighborhood hospital, the price of an admissions permit will be

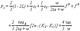
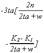
The expression is valuable for the insight offered by the individual arguments rather than by the overall intuition. qR is the opportunity cost of waiting for those who are able to pay. K2-K1 is the net capacity of Hospital 2 over Hospital 1. fB is the marginal cost of caring for an additional indigent patient. Other terms offer valuable interpretations. First note that 2ta/w is the per capita cost of a trip between the two hospitals. L/n is the ratio of poor patients to the number of paying patients for whom permits are available. n/w is the ratio of paying patients for whom there are permits to the number of patients in the population. (1-L)-L is the net proportion of paying patients in the population. Hence, s>0 if travel costs are not too high, the opportunity cost of waiting is not too great, the proportion of poor is low enough, and hospital 2 has enough capacity relative to hospital 1. In the fourth, and most general, case the price of an admissions permit is

Again, the overall expression is not intuitive. However, the individual terms do have interesting interpretations in their own right. aR-L is the proportion of paying patients who receive service from Hospital 1 and 2ta is the cost of a trip between the hospitals. Not surprisingly, the price of an admissions permit is an increasing function of the location of the marginal poor patient (aB) and the marginal cost of caring for the poor. Other comparative static results are taken up in the next section.

Implications

At the equilibrium prices, comparative statics yields some interesting results, summarized in Table 1. The first column shows the variable being changed. The remaining columns of the table can be divided into two parts in the vertical dimension. The first pair of columns show the response of the price of care to changes in key variables. The second pair of columns shows the response of the bid (s2) and offer (s1) price of an admissions permit to changes in key variables. Changes in the price of care are considered first. As the offer price of an admissions permit rises, Hospital 1 will increase the price it charges those who are able to pay for care. This response is a result of the fact that caring for the affluent now has a higher opportunity cost. Hospital 1's response to an increase in Hospital 2's bid price for a permit is also positive but smaller. Again the response is explained by a higher opportunity cost of providing care rather than selling the right to provide care. The price charged for care by a hospital increases as its own capacity increases. An increase in capacity will reduce waiting time. In turn, the total opportunity cost incurred by a paying patient will fall. As a consequence the hospital is able to raise price and capture some of the consumer's net gain in the real utility cost of having purchased care. If the hospital's competitor increases capacity then the correct response is to drop price. As the opportunity cost of time for the affluent (qR) increases, the price for their care will rise at both hospitals. That is, the hospitals correctly determine that price can be used to ration capacity so that the total cost of waiting by an affluent patient will remain unchanged. As the proportion (L) of unable-to-pay patients in the population increases, the price for care falls at Hospital 1 and rises at Hospital 2. This results from Hospital 1 having to compete more fiercely for the dwindling number of geographically more distant patients who are able to pay. At Hospital 2 they must raise the price for the affluent as their burden of unable to pay patients increases. The price response to an increase in the marginal cost of caring for the able to pay is also equal to the opportunity cost of time for the indigent. However, if the marginal cost of caring for an indigent patient rises then the price charged to the affluent must decrease. This response is necessary to attract more paying customers to offset the higher cost of caring for the indigent. Turning to the effects of variable changes on admissions permit prices, the minus signs in admissions permit cross derivatives indicate that the spread between the offer and bid price will increase in response to an increase in either one of them. An increase in its own capacity will cause Hospital 1 to lower its offer price. The logic is that reduced waiting time will draw more paying customers to Hospital 1 so the sale of an admissions permit to Hospital 2 is not as attractive. An increase in Hospital 2's capacity will cause Hospital 1 to raise the offer price for a permit. In this case waiting times at Hospital 2 are falling so more paying patients will go there and the hospital is willing to pay more for the right to care for them. The explanation of the sign patterns for Hospital 2's bid prices is symmetric. An increase in the opportunity cost of time for the affluent (qR) will cause both offer and bid price for a permit to fall. Both prices fall because the total fee for service must fall to compensate the able to pay customer for the increasing cost of waiting for care. As the proportion of indigent in the population increases, the first hospital will raise its offer price. This is necessary in order to offset the increased burden of caring for the indigent. Hospital 2's burden of caring for the poor will also increase, hence they will not pay as high a price for the right to provide care for the affluent. When the marginal cost of caring for the indigent rises, Hospital 1 must ask a higher price for its permits and Hospital 2 will raise the price it is willing to pay for those permits. The response of Hospital 1 is obvious. The response of Hospital 2 is explained by the fact that it is willing to pay more for the right to care for the affluent, the only source of income to offset the cost of caring for the poor. When the cost of caring for the affluent goes up, the price that Hospital 1 asks for its permits will go down and the willingness of Hospital 2 to pay for a permit will also decline. Hospital 1 must lower its offer price and Hospital 2 must lower its bid price since a paying customer is no longer as lucrative. 4. Conclusions In this paper we have modeled the essential features of the urban healthcare landscape. Namely, as a result of historical accident some hospitals are located in poor areas and have an excessive burden of caring for the poor. Other hospitals located in more affluent neighborhoods do not have a comparable burden. The result is that although the hospitals in the two types of neighborhoods may be equally well run, one group is always on the brink of financial ruin. To overcome the unequal burden, society has relied on various public care arrangements and inserted uncompensated care components into the prospective payment systems. Medicaid is used to reimburse for care provided to the poor and uninsured. Medicare is used to provide for the underinsured elderly. The reimbursement schedules are determined unilaterally by large, slow moving bureaucracies which are only moderately responsive to the vicissitudes of the market place. A recently proposed solution is to tax insurance carriers in order to finance the care for the indigent. Neither Medicare/Medicaid nor a system of taxes will be successful since neither mechanism solves the problem of the missing market for the care of the medically indigent. In the model proposed here the hospitals located in poor neighborhoods are endowed with the right to care for patients who are able to pay, either out of pocket or with insurance. These rights are termed admissions permits. Hospitals in affluent neighborhoods must purchase the right to care for patients from the their less affluent brethren. This places the mechanism for determining the appropriate reimbursement schedule in the hands of those who need care and those who provide it. An additional feature would be reduced courtship of paying patients (Braithwaite 1993). Permit prices would reflect case load mix, the proportion of poor in the wider urban area, and the costs of travel and waiting for care. The model can be modified to illustrate and compare the welfare effects of health care markets which do not have permit trading with those that allow permit trading and with those in which the hospital receives a lump sum subsidy for each patient treated. The model could also be used to explore the incentives for an affluent hospital to operate an outpatient clinic in the shadow of the poor hospital. By providing such care, the affluent hospital reduces the marginal cost of caring for the indigent at the poor hospital. As a result, the price of a bed permit would decline.

Table 1 Comparative Statics: Impact of Parameter Changes
Price of Care
Price of Permit
Variable
Hospital 1
Hospital 2
Hospital 1's Offer Price
Hospital 2's Bid Price
S1
2/3
1/3
- -
-2
S2
1/3
2/3
-1/2
- -
K1
K2
qr
L
fB
fR
1
1
-3/2
-3/2


Bibliography

Anderson, Simon P., Andre dePalma and Jacques-Francois Thisse, 1992, Discrete Choice Theory of Product Differentiation, (MIT Press, Cambridge).

Barondess, Jeremiah A., 1993, "Municipal Hospitals in NY: A Review of the Report of the Commission to Review the Health and Hospitlas Corporation", Bulletin of the New York Academy of Medicine, Vol 70, No. 1, Summer, Pps. 8-25.

Barr, Nicholas, 1993, The Economics of the Welfare State, (Weiden and Nicholson, London).

Belzer, Michael D., 1995, "Will Congress Shred the Safety Net?", Postgraduate Medicine, Vol, 98, No. 12, December, P. 15.

Blaisdell, F.W., 1994, "Development of the City-County (Public) Hospital", Archives of Surgery, Vol. 129, No. 7, July, Pps. 760-764.

Blankenau, R., 1993, "Caring for the Poor - and More", Hospitals, Vol. 67, No. 4, Pps 42, 44.

Blumstein, James F., 1986, "Providing Hospital Care to Indigent Patients: Hill-Burton as a Case Study and a Paradigm", in Uncompensated Hospital Care: Rights and Responsibilities, Frank A. Sloan, James F. Blumstein and James M. Perrin (eds.), The Johns Hopkins University Press, Pps. 94-107.

Braithwaite, S.S., 1993, "The Courtship of the Paying Patient", Journal of Clinical Ethics, Vol. 4, No. 2, Summer, Pps. 124-133.

Carvajal, Doreen, 1995, "Vying for Patients, Hospitals Think Location, Location", The New York Times, January 22, Pps. 25-26.

Cantor, Joel C., 1993, "Health Care Unreform: The New Jersey Approach", Journal of the American Medical Association, Vol. 270, No. 4, December, Pps. 2968-2970.

Dranove, David and William D. White, 1994, "Recent Theory and Evidence On Competition in Hospital Markets", Journal of Economics and Management Strategy, Vol. 3, No. 1, Pps. 169-209.

Elliot, B., C. Renier, and L. Vecchi, 1995, "Health Care for the Uninsured in Duluth", Minnesota Medicine, Vol. 78, No. 3, pps. 25-29.

Frank, Richard G. and David S. Salkever, 1991, The Supply of Charity Services by Nonprofit Hospitals: Motives and Market Structure, RAND Journal of Economics 22, 430-445.

Fritsch, Jane, 1995, State Regulators Review New York City's Public Hospitals, New York Times, March 8, B1.

Hahn, B. and A.B. Flood, 1995, "No Insurance, Public Insurance, and Private Insurance: Do These Options Contribute to Differences in General Health?", Journal of Health Care for the Poor and Underserved, Vol. 6, No. 1, Pps. 41-59.

Mallenby, M.L., 1993, "Health Care for Nebraska's Medically Indigent", Journal of Health Care for the Poor and Underserved, Vol. 4, No. 3, pps. 177-93.

Milgrom, Paul, 1992, "Auctions and Bidding: A Primer", Journal of Economic Perspectives, Vol. 3, No. 3, Pps. 3-22.

Myers, Beverly A., 1986, "Public Subsidies for Hospital Care of the Poor: Medicaid and Other Myths of Equity", in Uncompensated Hospital Care: Rights and Responsibilities, Frank A. Sloan, James F. Blumstein and James M. Perrin (eds.), The Johns Hopkins University Press, Pps. 16-53.

Myerson, Roger B. and Mark A. Satterthwaite, 1983, "Efficient Mechanisms for Bilateral Trade", Journal of Economic Theory, Vol. 29, No. 2, Pps. 265-281.

Olick, R.C., 1994, "Health Care Reform and the Right to Health Care", New Jersey Medicine, Vol. 91, No. 7, July, Pps. 472-476.

Reinhardt, Uwe, 1986, "Uncompensated Hospital Care", in Uncompensated Hospital Care: Rights and Responsibilities, Frank A. Sloan, James F. Blumstein and James M. Perrin (eds.), The Johns Hopkins University Press, Pps. 16-53.

Russell, Louise B., 1989, Medicare's New Hospital Payment System: Is It Working?, (The Brookings Institution, Washington, D.C.). Sloan, Frank A., James F. Blumstein and James M. Perrin (eds.), 1986, Uncompensated Hospital Care: Rights and Responsibilities, The Johns Hopkins University Press, Baltimore, Pps. 16-53.

Sloan, Frank A., Joseph Valvona and Ross Mullner, 1986, "Identifying the Issues: A Statistical Profile", in Uncompensated Hospital Care: Rights and Responsibilities, Frank A. Sloan, James F. Blumstein and James M. Perrin (eds.), The Johns Hopkins University Press, Pps. 16-53.

Sloan, Frank A., Michael A. Morrisey and Joseph Valvona, 1988, "Hospital Care for the "Self-Pay" Patient", Journal of Health Politics, Policy and Law, Vol. 13, No. 1, Spring, Pps. 83-102.

Smith, David B. and Joel L. Telles, 1991, A Population Based Analysis of the Effect of Disproportionate Share on Patterns of Hospital Care in a Metropolitan Area, (Delaware Valley Health Education and Research Foundation, Philadelphia).

Weiner, Saul J., 1992, "Bad Debt and Medical Indigence in Primary Care", Journal of Family Practice, Vol. 34, No. 4, April, Pps. 407-408.